مقارنة الآيات بالروايات

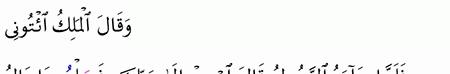
حفص عن عاصم

الآية رقم {50} من سورة ( يوسف)

  •   
  •   
  •   
  •  

قالون عن نافع

الآية رقم {50} من سورة ( يوسف)

  •   
  •   
  •   
  •  

ورش عن نافع

الآية رقم {50} من سورة ( يوسف)

  •   
  •   
  •   
  •  

ورش عن نافع من طريق الأصبهاني

الآية رقم {50} من سورة ( يوسف)

البزي عن ابن كثير

الآية رقم {50} من سورة ( يوسف)

قنبل عن ابن كثير

الآية رقم {50} من سورة ( يوسف)

دوري أبي عمرو

الآية رقم {50} من سورة ( يوسف)

  •   
  •   
  •   
  •  

السوسي عن أبي عمرو

الآية رقم {50} من سورة ( يوسف)

هشام عن ابن عامر

الآية رقم {50} من سورة ( يوسف)

ابن ذكوان عن ابن عامر

الآية رقم {50} من سورة ( يوسف)

شعبة عن عاصم

الآية رقم {50} من سورة ( يوسف)

  •   
  •   
  •   
  •  

خلف عن حمزة

الآية رقم {50} من سورة ( يوسف)

خلاد عن حمزة

الآية رقم {50} من سورة ( يوسف)

أبو الحارث عن الكسائي

الآية رقم {50} من سورة ( يوسف)

الدوري عن الكسائي

الآية رقم {50} من سورة ( يوسف)

  •   
  •   
  •   
  •  

ابن وردان عن أبي جعفر

الآية رقم {50} من سورة ( يوسف)

ابن جماز عن أبي جعفر

الآية رقم {50} من سورة ( يوسف)

رويس عن يعقوب الحضرمي

الآية رقم {50} من سورة ( يوسف)

  •   
  •   
  •   
  •  

روح عن يعقوب الحضرمي

الآية رقم {50} من سورة ( يوسف)

إسحاق الوراق عن خلف البزار

الآية رقم {50} من سورة ( يوسف)

إدريس الحداد عن خلف البزار

الآية رقم {50} من سورة ( يوسف)